

一文讀懂顆粒測試的基本知識和基本方法
粒度測試是通過特定的儀器和方法對粉體粒度特性進行表征的一項實驗工作。粉體在我們日常生活和工農業生產中的應用非常廣泛。如面粉、水泥、塑料、造紙、橡膠、陶瓷、藥品等等。在的不同應用領域中,對粉體特性的要求是各不相同的,在所有反映粉體特性的指標中,粒度分布是所有應用領域中最受關注的一項指標。所以客觀真實地反映粉體的粒度分布是一項非常重要的工作。下面就具體講一下關于粒度測試方面的基本知識和基本方法。
一、粒度測試的基本知識
1、顆粒:在一尺寸范圍內具有特定形狀的幾何體。這里所說的尺寸一般在毫米到納米之間,顆粒不僅指固體顆粒,還有霧滴、油珠等液體顆粒。

2、粉體:由大量的不同尺寸的顆粒組成的顆粒群。
3、粒度:顆粒的大小叫做顆粒的粒度。

4、粒度分布:用特定的儀器和方法反映出的不同粒徑顆粒占粉體總量的百分數。有區間分布和累計分布兩種形式。區間分布又稱為微分分布或頻率分布,它表示一系列粒徑區間中顆粒的百分含量。累計分布也叫積分分布,它表示小于或大于某粒徑顆粒的百分含量。




5、粒度分布的表示方法:
① 表格法:用表格的方法將粒徑區間分布、累計分布一一列出的方法。
② 圖形法:在直角標系中用直方圖和曲線等形式表示粒度分布的方法。
③ 函數法:用數學函數表示粒度分布的方法。這種方法一般在理論研究時用。如著名的Rosin-Rammler分布就是函數分布。
6、粒徑和等效粒徑:粒徑就是顆粒直徑。這概念是很簡單明確的,那么什么是等效粒徑呢,粒徑和等效粒徑有什么關系呢?我們知道,只有圓球體才有直徑,其它形狀的幾何體是沒有直徑的,而組成粉體的顆粒又絕大多數不是圓球形的,而是各種各樣不規則形狀的,有片狀的、針狀的、多棱狀的等等。這些復雜形狀的顆粒從理論上講是不能直接用直徑這個概念來表示它的大小的。而在實際工作中直徑是描述一個顆粒大小的最直觀、最簡單的一個量,我們又希望能用這樣的一個量來描述顆粒大小,所以在粒度測試的實踐中的我們引入了等效粒徑這個概念。

等效粒徑
等效粒徑是指當一個顆粒的某一物理特性與同質的球形顆粒相同或相近時,我們就用該球形顆粒的直徑來代表這個實際顆粒的直徑。那么這個球形顆粒的粒徑就是該實際顆粒的等效粒徑。
等效粒徑具體有如下幾種:
① 等效體積徑:與實際顆粒體積相同的球的直徑。一般為激光法所測直徑為等效體積徑。
② 等效沉速徑:在相同條件下與實際顆粒沉降速度相同的球的直徑。沉降法所測的粒徑為等效沉速徑,又叫Stokes徑。
③ 等效電阻徑:在相同條件下與實際顆粒產生相同電阻效果的球形顆粒的直徑。庫爾特法所測的粒徑為等效電阻徑。
④ 等效投進面積徑:與實際顆粒投進面積相同的球形顆粒的直徑。顯向鏡法和圖像法所測的粒徑大多是等效投影面積直徑。

用不同方法等效粒徑差異
7、表示粒度特性的幾個關鍵指標:
① D50:一個樣品的累計粒度分布百分數達到50%時所對應的粒徑。它的物理意義是粒徑大于它的顆粒占50%,小于它的顆粒也占50%,D50也叫中位徑或中值粒徑。D50常用來表示粉體的平均粒度。
② D97:一個樣品的累計粒度分布數達到97%時所對應的粒徑。它的物理意義是粒徑小于它的的顆粒占97%。D97常用來表示粉體粗端的粒度指標。其它如D16、D90等參數的定義與物理意義與D97相似。
③ 比表面積:單位重量的顆粒的表面積之和。比表面積的單位為m2/kg或cm2/g。比表面積與粒度有一定的關系,粒度越細,比表面積越大,但這種關系并不一定是正比關系。
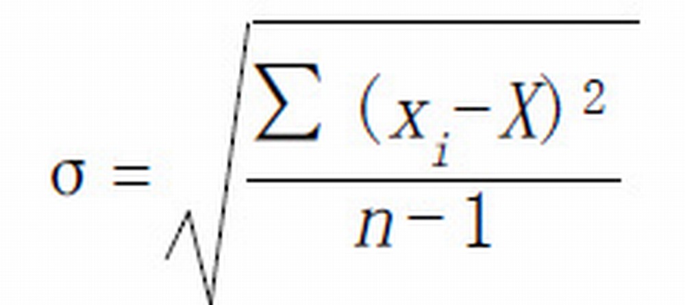
8、粒度測試的重復性:同一個樣品多次測量結果之間的偏差。重復性指標是衡量一個粒度測試儀器和方法好壞的最重要的指標。它的計算方法是:

其中,n 為測量次數(一般n ≥ 10);
x i 為每次測試結果的典型值(一般為D50 值);
x為多次測試結果典型值的平均值;
σ為標準差;
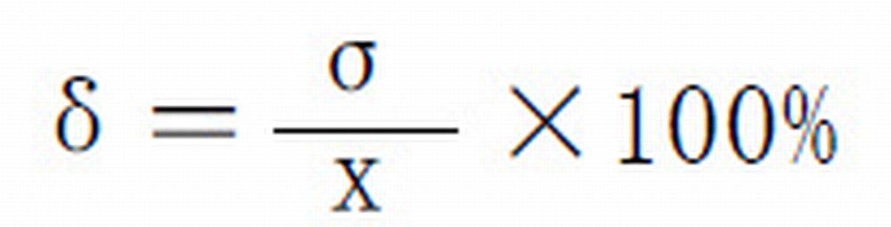
那么重復性相對誤差為:

影響粒度測試重復性有儀器和方法本身的因素;樣品制備方面的因素;環境與操作方面的因素等。粒度測試應具有良好的重復性是對儀器和操作人員的基本要求。
9、粒度測試的真實性:通常的測量儀器都有準確性方面的指標。由于粒度測試的特殊性,通常用真實性來表示準確性方面的含義。由于粒度測試所測得的粒徑為等效粒徑,對同一個顆粒,不同的等效方法可能會得到不同的等效粒徑。
可見,由于測量方法不同,同一個顆粒得到了兩個不同的結果。也就是說,一個不規則形狀的顆粒,如果用一個數值來表示它的大小時,這個數值不是唯一的,而是有一系列的數值。而每一種測試方法的都是針對顆粒的某一個特定方面進行的,所得到的數值是所有能表示顆粒大小的一系列數值中的一個,所以相同樣品用不同的粒度測試方法得到的結果有所不同的是客觀原因造成的。
顆粒的形狀越復雜,不同測試方法的結果相差越大。但這并不意味著粒度測試結果可以漫無邊際,而恰恰應具有一定的真實性,就是應比較真實地反映樣品的實際粒度分布。真實性目前還沒有嚴格的標準,是一個定性的概念。但有些現象可以做為測試結果真實性好壞的依據。比如儀器對標準樣的測量結果應在標稱值允許的誤差范圍內;經粉碎后的樣品應比粉粉碎前更細;經分級后的樣品的大顆粒含量應減少;結果與行業標準或公認的方法一致等。
二、粒度測試的基本方法
粒度測試的方法很多,據統計有上百種。目前常用的有沉降法、激光法、篩分法、圖像法和電阻法五種,另外還有幾種在特定行業和領域中常用的測試方法。


1、沉降法:沉降法是根據不同粒徑的顆粒在液體中的沉降速度不同測量粒度分布的一種方法。它的基本過程是把樣品放到某種液體中制成一定濃度的懸浮液,懸浮液中的顆粒在重力或離心力作用下將發生沉降。不同粒徑顆粒的沉降速度是不同的,大顆粒的沉降速度較快,小顆粒的沉降速度較慢。那么顆粒的沉降速度與粒徑有怎樣的數量關系,通過什么方式反映顆粒的沉降速度呢?


①Stokes定律:在重力場中,懸浮在液體中的顆粒受重力、浮力和粘滯阻力的作用將發生運動.從Stokes定律中我們看到,沉降速度與顆粒直徑的平方成正比。比如兩個粒徑比為1:10的顆粒,其沉降速度之比為1:100,就是說細顆粒的沉降速度要慢很多。為了加快細顆粒的沉降速度,縮短測量時間,現代沉降儀大都引入離心沉降方式。
在離心沉降狀態下,顆粒的沉降事度與粒度的關系如下:

這就是Stokes定律在離心狀態下的表達式。由于離心轉速都在數百轉以上,離心加速度ω2r遠遠大于重力加速度g,Vc>>V,所以在粒徑相同的條件下,離心沉降的測試時間將大大縮短。
② 比爾定律:如前所述,沉降法是根據顆粒的沉降速度來測試粒度分布的。但直接測量顆粒的沉降速度是很困難的。所以在實際應用過程中是通過測量不同時刻透過懸浮液光強的變化率來間接地反映顆粒的沉降速度的。那么光強的變化率與粒徑之間的關系又是怎樣的呢?比爾定律告訴我們:

設在T1、T2、T3、……Ti時刻測得一系列的光強值I1<I2<I3…<Ii,這些光強值對應的顆粒粒徑為D2>D3>……>Di,將這些光強值和粒徑值代入式中,再通過計算機處理就可以得到粒度分布了。
2、激光法:激光法是根據激光照射到顆粒后,顆粒能使激光產生衍射或散射的現象來測試粒度分布的。由激光器的發生的激光,經擴束后成為一束直徑為10mm左右的平行光。在沒有顆粒的情況下該平行光通過富氏透鏡后匯聚到后焦平面上。當通過適當的方式將一定量的顆粒均勻地放置到平行光束中時,平行光將發生散現象。一部分光將與光軸成一定角度向外傳播。

激光束在無阻礙狀態下的傳播示意圖

不同粒徑的顆粒產生不同角度的散射光

那么,散射現象與粒徑之間有什么關系呢?理論和實驗都證明:大顆粒引發的散射光的角度小,顆粒越小,散光與軸之間的角度就越大。這些不同角度的散射光通過富姓氏透鏡后在焦平面上將形成一系列有不同半徑的光環,由這些光環組成的明暗交替的光斑稱為Airy斑。Airy斑中包含著豐富粒度信息,簡單地理解就是半徑大的光環對應著較小的粒徑;半徑小的光環對應著較大的粒徑;不同半徑的光環光的強弱,包含該粒徑顆粒的數量信息。這樣我們在焦平面上放置一系列的光電接收器,將由不同粒徑顆粒散射的光信號轉換成電信號,并傳輸到計算機中,通過米氏散理論對這些信號進行數學處理,就可以得到粒度分布了。
3、篩分法:篩分法是一種最傳統的粒度測試方法。它是使顆粒通過不同尺寸的篩孔來測試粒度的。篩分法分干篩和濕篩兩種形式,可以用單個篩子來控制單一粒徑顆粒的通過率,也可以用多個篩子疊加起來同時測量多個粒徑顆粒的通過率,并計算出百分數。篩分法有手工篩、振動篩、負壓篩、全自動篩等多種方式。顆粒能否通過篩幾與顆粒的取向和篩分時間等素因素有關,不同的行業有各自的篩分方法標準。

4、電阻法:電阻法又叫庫爾特法,是由美國一個叫庫爾特的人發明的一種粒度測試方法。這種方法是根據顆粒在通過一個小微孔的瞬間,占據了小微孔中的部分空間而排開了小微孔中的導電液體,使小微孔兩端的電阻發生變化的原理測試粒度分布的。小孔兩端的電阻的大小與顆粒的體積成正比。當不同大小的粒徑顆粒連續通過小微孔時,小微孔的兩端將連續產生不同大小的電阻信號,通過計算機對這些電阻信號進行處理就可以得到粒度分布了。用庫爾特法進行粒度測試所用的介質通常是導電性能較好的生理鹽水。

5、顯微圖象法:顯微圖象法包括顯微鏡、CCD攝像頭(或數碼像機)、圖形采集卡、計算機等部分組成。它的基本工作原理是將顯微鏡放大后的顆粒圖像通過CCD攝像頭和圖形采集卡傳輸到計算機中,由計算機對這些圖像進行邊緣識別等處理,計算出每個顆粒的投影面積,根據等效投影面積原理得出每個顆粒的粒徑,再統計出所設定的粒徑區間的顆粒的數量,就可以得到粒度分布了。

由于這種方法單次所測到的顆粒個數較少,對同一個樣品可以通過更換視場的方法進行多次測量來提高測試結果的真實性。除了進行粒度測試之外,顯微圖象法還常用來觀察和測試顆粒的形貌。
6、其它顆粒度測試方法:除了上述幾種粒度測試方法以外,目前在生產和研究領域還常用刮板法、沉降瓶法、透氣法、超聲波法和動態光散射法等。
(1) 刮板法:把樣品刮到一個平板的表面上,觀察粗糙度,以此來評價樣品的粒度是否合格。此法是涂料行業采用的一種方法。是一個定性的粒度測試方法。
(2) 沉降瓶法:它的原理與前后講的沉降法原理大致相同。測試過程是首先將一定量的樣品與液體在500ml或1000ml的量筒里配制成懸浮液,充分攪拌均勻后取出一定量(如20ml)作為樣品的總重量,然后根據Stokes定律計算好每種顆粒沉降時間,在固定的時刻分別放出相同量的懸浮液,來代表該時刻對應的粒徑。將每個時刻得到的懸浮液烘干、稱重后就可以計算出粒度分布了。此法目前在磨料和河流泥沙等行業還有應用。
(3) 透氣法:透氣法也叫弗氏法。先將樣品裝到一個金屬管里并壓實,將這個金屬管安裝到一個氣路里形成一個閉環氣路。當氣路中的氣體流動時,氣體將從顆粒的縫隙中穿過。如果樣品較粗,顆粒之間的縫隙就大,氣體流邊所受的阻礙就小;樣品較細,顆粒之間的縫隙就小,氣體流動所受的阻礙就大。透氣法就是根據這樣一個原理來測試粒度的。這種方法只能得到一個平均粒度值,不能測量粒度分布。這種方法主要用在磁性材料行業。
(4) 超聲波法:通過不同粒徑顆粒對超聲波產生不同的影響的原理來測量粒度分布的一種方法。它可以直接測試固液比達到70%的高濃度漿料。這種方法是一種新的技術,目前國內外都有人進行研究,據說國外已經有了儀器,國內目前還沒有。
(5) 動態光散射法:前面所講的激光散射法可以理解為靜態光散射法。當顆粒小到一定的程度時,顆粒在液體中受布朗運動的影響,呈一種隨機的運動狀態,其運動距離與運動速度與顆粒的大小有關。通過相關技術來識別這些顆粒的運動狀態,就可以得到粒度分布了。動態光散射法,主要用來測量納米材料的粒度分布。國外已有現成的儀器,國內目前還沒有。
本網站相關內容僅供參考學習,所有轉載內容,均不代表【創航儀器網站】贊同其觀點,不能完全保證其真實性,亦不承擔任何法律責任。如若本網站無意侵犯媒體或個人知識產權,請聯系小助手:17700775778,我們將立即予以刪除。